ENSAYOS DE
ESTUFAS DE
LENA PARA
COCINAR
Estandares Provisionales
Internacionales
una
publicacion de VITA
ENSAYOS DE ESTUFAS DE
LENA PARA
COCINAR
Estandares Provisionales
Internacionales
De los
procedimientos de la reunion de
expertos en:
VITA
1600
Wilson Boulevard, Suite 500
Arlington, Virgnia 22209 USA
Tel:
703/276-1800 . Fax:
703/243-1865
Internet: pr-info@vita.org
Diciembre
1982
PARTICIPANTES EN LA REUNION
DE ARLINGTON
Dr. Samuel
Baldwin, Comite-Permanent Interetats de Lutte contre la
Secheresse dans le Sahel (CILSS)/VITA, Upper
Volta
Prof. Guido
de Lepeleire, Katholieke Universiteit Leuven (Louvain),
Belgium
Dr. Dhammika
de Silva, Ceylon Institute for Scientific and Industrial
Research (CISIR), Sri Lanka
Dr. Gautam S.
Dutt, Center for Energy and Environmental Studies,
Princeton University, USA
Mr. Howard
Geller, American Council for an Energy-Efficient Economy,
USA
Dr. C.L.
Gupta, Tata Energy Research Institute (TERI) Field Research
Unit, India
Mr. Hamata Ag
Hantafaye, Laboratoire d'Energie Solaire, Mali
Mr. Stephen
Joseph, Intermediate Technology Development Group, United
Kingdom
Ms. Karen
Kennedy, Aprovecho Institute, USA
Prof. K.
Krishna Prasad, University of Technology, Eindhoven, The
Netherlands
Ing. Marco
August Recinos, Instituto Centroamericano de Investigacion y
Tecnologia Industrial (ICAITI)
Mr. Sylvain
Strasfogel, Association BOIS DE FEU, France
Dr. Timothy
S. Wood, VITA, USA
CONTENIDO
Introduccion
Ensayo del
Agua Hirviendo
Equipo
Procedimiento
Anotaciones de Procedimiento
Formulario de Datos y Calculos
edsx150.gif (600x600)

Formulario para Reportar Series de Ensayo
edsx170.gif (600x600)
Ensayo
Controlado de Cocina
Equipo
Procedimiento
Anotaciones de Procedimiento
Formulario de Datos y Calculos
edsx25.gif (600x600)

Formulario para Reportar Series de Ensayo
edsx260.gif (600x600)
Ensayo del
Rendimiento de Cocina
Equipo
Procedimiento
Anotaciones de Procedimiento
Formulario de Datos y Calculos
edsx37.gif (600x600)

Formulario para Reportar Series de Ensayo
edsx38.gif (600x600)
Anotaciones
Tecnicas
Vocabulario
Abreviaturas
APENDICE
I. Conceptos de Eficiencia
II. Interpretando los Resultados del
Ensayo
III. Cantidades, Efectos de Escala y Otros
Parametros influyentes
IV.
Participantes en la Reunion de Arlington
V. Participantes en el "Seminario de
Estufas de Lena" en
Louvain
VI. Participantes en la Reunion de
Marsella
VII. Otros Criticos
INTRODUCCION
Los estandares
internacionales para el ensayo de la eficiencia
de estufas de
lena para cocinar que aqui se proponen, son el
resultado de
los esfuerzos de un grupo de expertos en este campo,
que se
reunieron en VITA, en Arlington, durante el mes de
diciembre de
1982. Trece expertos de diez paises asistieron a
esta reunion
de una semana de duracion y, establecieron tres
pruebas
basicas y procedimientos de reporte. Al imponer un estandard
cientifico
riguroso, los expertos esperan transmitir
credibilidad
a los resultados de pruebas y de esa manera asegurarse
no solo la
ejecucion tecnica, sino que tambien una viabilidad
socio-economica
y comercial de estufas.
Este
documento incluye procedimientos paso a paso para cada una
de las
pruebas estandarizadas, acompanados de Apuntes de Procedimiento
que ofreceran
sugerencias especificas para dirigir las
pruebas. Los
datos de muestra y forma de reporte que se incluyen
para cada
prueba estan disenados de tal modo que el registro
de la
informacion basica es simplificado. Para una referencia
facil, los
Apuntes Tecnicos que ofrecen informacion de fondo
relevante a
las tres pruebas, estan impresos en papel de colores.
El
vocabulario y la lista de abreviaciones, estan acompanados
de una
seccion que discute los conceptos de eficiencia
usados al
ensayar el funcionamiento de la estufa; un curso corto
en el
analisis estadistico de los datos experimentales y los
efectos de
las cantidades, escala y otros parametros que pueden
influir en el
funcionamiento.
El grupo de
expertos reconoce que algunos de los procedimientos
que aqui se
describen, difieren significativamente de lo que en
el pasado se
ha recomendado. La diferencia principal radica en
el concepto
usado de "eficiencia". Estos estandares estan basados
en una
descripcion y justificacion mas amplia de eficiencia
que el.
Porcentaje Calorico Aprovechado (PCA). Ellos interpretan
a la
evaporacion como una medida de la energia desperdicada y
no como
energia usada (ver el Apendice I, Conceptos de Eficiencia).
No es la
intencion del grupo exigir ni demandar que estos
estandares
sean adoptados. Mas bien, se espera que los eva
luadores de
estufas usen los estandares provisionales, busquen
sus defectos
y compartan su experiencia al usarlos para que pue
dan ser
revisados conforme vaya siendo necesario. El proposito
de
desarrollar estandares de prueba, es el de ayudar a que los
tecnicos
obtengan resultados mas confiables de sus ensayos, consideren
fuentes de
error e interpreten los resultados de sus ensayos
confiadamente.
Estos estandares no excluyen el uso de las
actuales
formas de ensayo, sin embargo, el grupo considera que
los nuevos
estandares pueden ofrecer resultados mas confiables
y
comparativos. Estos estandares provisionales, estan siendo
divulgados
para su revision y comentarios entre los participantes
de las
reuniones en Arlington, Louvain y Marsella (ver abajo),
asi como a
otros tecnicos interesados y cuyos nombres fueron
recomendados
por los participantes. Una lista completa de
los mismos y
de otros criticos, se encuentra en el Apendice.
A
continuacion de la revision, un documento final sera preparado
y divulgado a
los ensayistas de estufas en el mundo entero.
Los ensayos
estandarizados seran presentados a la Oficina Nacio
nal de
Estandares de los Estados Unidos de Norte America para
su
ratificacion.
Los problemas
alrededor del diseno y ensayo de estufas de lena,
han ganado un
incremento de atencion en los ultimos cinco anos
o mas. Muchos
particulares y grupos, se han involucrado, circu
lado
documentos y se han reunido ocasionalmente para discutir
problemas. En
el "Septimo Seminario de Estufas de Lena" celebrado
en Louvain,
Belgica, del 4 al 5 de marzo de 1982, se acor
do que un
esfuerzo sistematico deberia ser llevado a cabo para
obtener un
consenso tan amplio como fuera posible en el campo
del ensayo de
estufas de lena. Se estimo que los enfoques de
ensayo eran
numerosos y que ello derivaba en interpretaciones
erroneas y en
engorrosas comparaciones de los resultados.
Un grupo
internacional e informal de trabajo constituido por los
participantes
de Louvain y otros individuos trabajando en el desarrollo
de un
estandard para ensayos de campo de estufas de lena,
se reunio en
Marsella entre el 12 y 14 de mayo de 1982. Este
grupo acordo
que la necesidad de contar con un estandard internacional
aceptable era
urgente. Se asento que los ensayos de
campo habian
sido realizados en muchos lugares y por diferentes
personas,
algunas de los cuales habian realizado publicaciones
en la materia
y ademas hecho sugerencias para los estandares.
Ninguna de las
sugerencias publicadas fueron utilizadas como base
de discusion,
mas bien, el grupo realizo una "tormenta de
ideas"
(brainstorming) de los comentarios que se habian recibido
despues de la
reunion de Louvain y, de nuevas ideas, manteniendo
las sugerencias
iniciales en mente.
En Marsella
se establecio un consenso general en que:
o
Un estandard a nivel mundial deberia ser
simple y limitado.
Un estandard sera mas aceptable si este
impone reglas estrictas
solo cuando sea necesario, pero debe incluir
recomendaciones
donde sea posible.
o
Una distincion debiera ser hecha para los
casos cuando el ensayo
sea hecho a nivel local (para los usuarios
y otros) y
cuando sea hecho con fines de ser
transferido a otros lugares.
o
El estandard debiera representar un
compromiso entre el rango
mas amplio posible de aplicaciones y el uso
mas practico
posible de acuerdo a las actuales practicas
de cocinar.
o
Seria util para fines de estandarizacion, el
clasificar los
diferentes parametros que influyen en el
rendimiento de las
estufas.
El grupo de
Marsella decidio que los conceptos de evaluacion y
las
especificaciones de reportes podrian ser fijados en el procedimiento
estandard de
ensayo y que, los alimentos, combustibles
y ollas
podrian ser especificados en los estandares locales.
Debido a que
la estufa en si no puede ser estandarizada,
se necesitara
que una descripcion detallada de la estufa se consigne
al par del
reporte de ensayo. Se penso que un estandard
internacional
podria recomendar una forma de realizar esto. Las
discusiones
condujeron a un conjunto de "instrucciones" para el
borrador del
estandard propuesto. El borrador del grupo de Marsella
fue
distribuido entre los participantes, quienes entonces,
ofrecieron
sus comentarios. El segundo borrador que se obtuvo
fue discutido
entre otras, en la reunion realizada en VITA entre
el 6 y 10 de
diciembre de 1982.
Se espera que
este documento, una vez revisado consignando los
comentarios
de los revisantes, sers ampliamente aceptado y usado
por los
evaluadores de estufas alrededor del mundo. El uso
ampliamente
difundido de procedimientos estandarizados de ensayo
permitira la
comparacion de los diferentes disenos de estufa
sobre una
base mas sistematica y alentara una mas amplia participacion
en los
resultados de la investigacion y de los esfuerzos
realizados
para su desarrollo. Esto beneficiara tanto a los
usuarios como
a los responsables del diseno de estufas y a la
postre a
todos aquellos que dependen de los recursos forestales
del mundo.
Este
documento es producto de la recopilacion de notas y grabaciones
de la reunion
en Arlington, por Tim Wood, con material
suplementario
de Guido de Lepeleire, Gautam Dutt y Howard Geller.
La version
inglesa fue revisada por Kristine Stroad Ament
y mecanografiado
por Juleann Fallgatter. La traduccion al
espanol fue
realizada por Guillermo Duarte-Monroy. La
reunion de
expertos fue posible gracias al apoyo prestado por la
Agencia de
los Estados Unidos para el Desarrollo Internacional
(US AID), el
Gobierno de Holanda e IBM/Europa.
ENSAYO DEL AGUA
HIRVIENDO
Los Ensayos
del Agua Hirviendo (EAH), son simulaciones simples
y cortas de
los procedimientos estandard de cocinar.
Ellos miden
la cantidad
de combustible consumido asi como el tiempo requerido
para simular
el cocinado. Son usados para realizar
una
rapida
comparacion del rendimiento de diferentes estufas o de
la misma
estufa bajo diferentes condiciones de operacion y cuantificar
el
rendimiento esperado de la misma. Los
EAH son utilizados
por
disenadores de estufas asi como investigadores y trabajadores
de campo.
Los Ensayos
del Agua Hirviendo utilizan al agua como si se tratara
de comida; la
capacidad estandard es de dos tercios de la
plena
capacidad de la olla.
Los ensayos
incluyen una fase de "alta potencia" y otra de "baja
potencia".
La fase de alta potencia implica el
calentamiento
de una
cantidad estandard de agua de temperatura ambiente
hasta
llevarla a ebullicion tan rapido como sea posible y, mantenerla
en ese estado
a la misma alta potencia por un periodo
de 15 minutos
(ver la Anotacion Tecnica No. 2). La
fase de baja
potencia se
describe a continuacion. La potencia es
reducida
al mas bajo
nivel necesario para mantener dentro del limite
de
2[degrees]C de ebullicion, al agua durante el termino de una hora.
El Ensayo del
Agua Hirviendo debe de ser repetido al menos cuatro
veces y los
resultados deben ser tabulados en forma estadis
tica (ver
Apendice II). Los resultados de los
ensayos deben ser
expresados en
terminos de consumo de lena y del tiempo requerido.
Los factores
de correccion deben usarse para reflejar la influencia
conocida de
algunos parametros no estandarizados.
Equipo
*
Una estufa
*
Ollas con tapaderas
*
Una balanza exacta hasta 10 gramos y con
capacidad recomendada
de 5 Kg.
(Anotacion Tecnica No. 5).
*
Especies de madera dominantes del lugar,
secadas al aire (Ano
taciones Tecnicas 3 y 9), con un diametro
preferible de 2 a
3 cm
*
Agua, dentro del rango de 2[degrees]C de la
temperatura ambiente
*
Mecanismo medidor de tiempo
*
Un termometro de mercurio o digital para
medir temperaturas
de hasta 105[degrees]C (Anotacion Tecnica
No. 7)
*
Aparato para medir/estimar el contenido de
humedad de la madera
(Anotacion Tecnica No. 4)
*
Equipo para remover y pesar brazas (ver
Apuntes de Procedimiento
No. 1)
*
Formularios para registrar datos y calculos
edsx150.gif (600x600)
Procedimiento
1.
Anote y registre las condiciones del ensayo.
Prepare un dibujo
edsx170.gif (600x600)

o plano de la estufa y de las ollas que
se ensayaran.
Incluya todas las dimensiones relevantes
de la estufa y muestre
la forma en que las ollas encajan en la
estufa (Anotacion
Tecnica No. 8). Anote las condiciones
climaticas (Anotacion
Tecnica No. 1).
2.
Tome una cantidad de madera no mayor del doble de la cantidad
estimada como necesaria, pesela y
registre el peso en la hoja
de reporte de datos.
3.
Pese las ollas con sus tapaderas y registre el peso.
Llene
cada olla con agua hasta 2/3 de su
capacidad, quite las tapaderas
y registre este nuevo peso.
4.
Coloque un termometro en cada olla de tal manera que quede
fijo en el centro, a aproximadamente 1 cm
del fondo (Anotacion
de Procedimiento No. 1).
Registre la temperatura del agua y
asegurese que las temperaturas no varien en mas de 2[degrees]C de la
ambiental.
5.
Despues de una comprobacion final de las preparaciones anota
das, encienda el fuego como en la
Anotacion Tecnica No. 10.
Reqistre el tiempo exacto de inicio.
Lleve a completacion
totalmente la fase de "alta
potencia" del ensayo, controle el
fuego usando los medios comunmente
utilizados en la localidad
y lleve la primera olla a ebullicion tan
rapidamente como le
sea posible.
6. Registre
regularmente los siguientes datos en su Formulario
de Calculos y Datos:
*
la temperatura del agua ed cada olla
*
el peso de cualquier leno anadido al fuego
*
cualquier accion realizada para controlar el fuego (regulador
de tiro, soplado etc.); y
*
la reaccion del fuego (humo, etc.).
7.
Registre el tiempo en el cual el agua de la primera olla llega
a una vigorosa ebullicion.
Mueva la tapadera si considera
necesario evitar que la olla deje de
ebullir. Mantenga el
fueqo al mismo nivel de alta potencia.
8. A
los 15 minutos exactos despues de haber iniciado la ebullicion,
rapidamente lleve a cabo las siguientes
acciones:
*
Registre el tiempo.
*
Remueva toda la madera de la estufa, bote el carbon de lena
formado y, peselo todo juntamente con
la madera no usada
del suministro previamente pesado.
*
Pese todo el carbon de lena separadamente (Anotacion de
Procedimiento No. 5).
*
Registre la temperatura del agua de cada olla.
*
Pese cada olla, incluyendo el agua y la tapadera.
*
Retorne el carbon de lena, la madera ardiendo y las ollas
a la estufa e inicie la fase de
"baja potencia" del ensayo.
Conforme se adquiera practica en este
proceso, un ensayista
solo, puede completar este paso en el
termino de 2 a 4 minutos
y realizar el paso No. 9 sin introducir
ningun error
significativo a los datos
experimentales. En caso de considerar
a esta interrupcion como dificultuosa o
desorganizada
del proceso, se sugiere un procedimiento
alterno en la
Anotacion de Procedimiento No. 3.
9.
Durante los proximos 60 minutos, mantenga el fuego a un nivel
justo como para mantener el agua de la
primera olla dentro
del margen de 2[degrees]C de
ebullicion. Use la menor cantidad
de lena posible y evite una ebullicion
vigorosa. Continue la
monitarizacion de todas las condiciones
del paso 6. Si la
temperatura del agua de la primera olla
cayera a mas de 5[degrees]C
del punto de ebullicion, el ensayo debe
considerarse como
no valido.
10.
Recupere, pese y registre separadamente el
carbon de lena y
toda la lena.
11.
Pese y registre el agua remanente en cada
olla.
12.
Calcule la cantidad de lena consumida, la
cantidad de agua
remanente, el tiempo especifico, el
Consumo Especifico Estandard
(CEE), la Razon de Consumo para dos o
tres ollas
de las estufas y los niveles maximos y
minimos.
13.
Interprete los resultados del ensayo (ver
Anotacion de Procedimiento
No. 4), y llene el Formulario de Reporte
de Ensayos
en Serie.
Anotaciones
de Procedimiento
1.
Cuando el agua no esta hirviendo, pueden presentarse gradientes
de temperatura.
El punto mas representativo para chequear
la temperatura promedio, parece ser en el
centro de la
olla y a 1 cm. del fondo.
Es algo bueno tener un termometro
u otro medidor de temperatura en cada
olla. Lo mas practico
es disponer de una serie de tapaderas
especiales con un apoyo
en el centro para asi mantener el
termometro en su lugar y
a un nivel apropiado.
(Figura 1).
eds1x11.gif (486x486)
2. La
recuperacion y pesado de las brazas y carbones calientes
de la estufa se puede simplificar usando
una especie de cenicero
de metal colocado en el fondo de la
camara de combustion
(Figura 2).
A menudo el cenicero incluyendo su contenido
eds2x12.gif (437x437)

puede ser considerado como una unidad y
pesado como tal,
restando el peso del cenicero vacio posteriormente.
No se
considera necesario el separar el carbon
de lena y las cenizas,
ya que, el peso de la ceniza es por lo
general insignificante.
Unas tenazas de alambre (Figura 3) se
pueden usar
eds3x13.gif (437x437)

para recoger pedazos aun calientes de carbon
de lena. Los
quantes aislantes, resistentes al calor
son muy utiles.
3.
Los ensayos de "alta potencia" y los de "baja
potencia" se
pueden realizar separadamente.
Para realizar este ultimo, al
terminar el paso 8, se apaga el fuego y
se deja enfriar a la
estufa durante unas 6 horas por lo menos
y luego se conduce
la prueba de baja potencia en la misma
forma que se explicara
anteriormente, con la diferencia de que
se reduce el
fuego en el instante en que el agua de la
primera olla empieza
a ebullir.
El ensayo se continua con un minimo de consumo
de combustible, manteniendo el agua de la
primera olla
dentro del rango de 2[degrees]C del punto
de ebullicion.
El ensayo termina al cabo de 60 minutos
de haberse iniciado
la ebullicion y, todas las cantidades son
registradas. El
peso del combustible utilizado durante la
fase de alta potencia
se resta de la cantidad total usada en la
fase de baja potencia.
Se necesitara una hoja separada de los
datos modificados
para registrar los resultados del
ensayo. Los calculos
finales permanecen inalterados.
4.
Algo importante es saber como interpretar los resultados del
Ensayo de Agua Hirviendo (EAH), y
recordar que un bajo consumo
especifico estandard implica una alta
eficiencia. La eficiencia
decrece conforme el consumo especifico
estandard aumenta.
Es factible utilizar los resultados del
EAH para juzgar
la adeptabilidad de una estufa en
diferentes tareas de
cocinar.
Por ejemplo, para cocinar a alta potencia, (un freimiento
rapido o una hervida), una estufa con la
mayor eficiencia
a alta potencia sera la mas indicada, en
cambio para
cocinar a fuego lento, la mejor eleccion
correspondera a
aquella estufa que muestre un consumo
especifico estandard bajo,
ya sea a alta potencia y a baja
potencia. (Ver Apendice I
que explica los conceptos de
eficiencia. El Apendice
II trata acerca de la interpretacion de
los resultados de
ensayo con cierto detalle; el Apendice
III se orienta a
los efectos ocasionados por la escala y
otros parametros
que influyen en el comportamiento.
ENSAYO CONTROLADO DE
COCINA
edsx25.gif (600x600)
Al Ensayo
Controlado de Cocina (ECC) se le propone como un paso
intermedio
entre el Ensayo de Agua Hirviendo y el Ensayo de
Rendimiento
de Cocina. Los objetivos primarios del ECC son:
*
Comparar la cantidad de combustible
consumido y el tiempo
que transcurre al cocinar una comida en
diferentes estufas;
y
*
Determinar si una estufa puede o no ser
efectivamente usada
para cocinar los distintos alimentos que
normalmente se preparan
en el lugar donde se introducira.
Ademas este
ensayo puede ser usado para:
*
Comparar diferentes costumbres de cocinar en
la misma estufa.
Ofrecer a un cocinero(a) la oportunidad de
aprender a usar
la estufa; y
*
Proporcionar seguimiento al Ensayo de Agua
Hirviendo al someter
a una estufa a condiciones mas reales pero
controladas.
El ECC
normalmente se realiza en un laboratorio o en un centro
de
demostracion de campo por ensayistas entrenados en estufas,
agentes de
extension o potenciales usuarios. El cocinero(a), de
preferencia
mujer, debiera estar entrenada en tecnicas tradicionales
de cocina.
Equipo
*
Una mezcla homogenea de lena, de la
normalmente usada localmente
y en cantidad suficiente como para
desarrollar por lo
menos 20 ensayos (ver Anotacion Tecnica No.
9).
*
Una cantidad de comida seleccionada
suficiente para 20 ensayos.
*
Un instrumento para pesar, con exactitud
hasta de 10 gramos
y con una capacidad de 5 a 10 kg.,
dependiendo de la
cantidad de comida cocinada en cada ensayo
(Anotacion Tecnica
No. 5.)
*
Instrumento para medir el tiempo.
*
Ollas, tapaderas y otros utensilios de
cocina, seleccionados
al inicio y usados completamente durante el
ensayo.
*
Formularios para registro de informacion y
calculos.
Procedimiento
1. Establezca
un diseno de ensayo que refleje exactamente las
practicas locales de cocinar (Anotacion de
Procedimiento No.
1).
2. Remueva
cualquier pedazo de carbon de lena y ceniza de la
estufa a ser ensayada. La estufa no debera
estar calience
ni recien usada.
3. Registre
las condiciones climaticas (Anotacion Tecnica No.
1).
4. Tome una
cantidad de lena no mayor que el doble del estimado
como necesaria. Pesela y registre el peso
en su formulario
de datos y calculos.
5. Pese las
ollas y sus tapaderas, registre ese dato.
6. Prepare la
comida a ser cocinada.
7. Encienda
el fuego y anote el tiempo (Anotacion Tecnica No.
1).
8. Realice la
tarea de cocinado (Anotacion de Procedimiento No.
1).
9. Cuando
haya terminado de cocinar, registre el tiempo transcurrido
(Anotacion de Procedimiento No. 2).
10. Pese
separadamente la lena remanente y el carbon de lena
(Anotacion de Procedimiento No. 3).
11. Pese la
comida en la olla, incluyendo las tapaderas.
12. Anote los
comentarios del(la) cocinero(a) respecto a cualquier
problema que se le haya presentado,
incluyendo diferencias
cualitativas entre la estufa ensayada y
otras estufas.
13. Repita el
mismo ensayo por lo menos otras cinco veces para
cada tipo de comida cocinada.
14. Repita
todos los Ensayos Controlados de Cocina, solo que esta
vez, usando una estufa diferente u otra
tecnica tradicional
de cocinado para base de comparacion.
15. Para cada
ensayo, calcule el tiempo total de la prueba y el
Consumo Especifico de Combustible. Para
cada conjunto de resultados
similares, calcule la desviacion estandard
de los
resultados. Registre estos en el
Formulario de Reporte de
Ensayos en Serie. Desarolle un ensayo de
"t" de Student y
compare estadisticamente los dos tipos de
estufa probados.
(Vea el Apendice II, Interpretando los
Resultados de Ensayo).
16. Escriba
un reporte del ensayo para cada prueba utilizando
si lo desea, la informacion de muestra y
el Formulario de
Calculos en la siguiente hoja. Incluya una
descripcion de:
* estufas y tachos usados en el ensayo
(Anotacion Tecnica
No. 8).
* el alimento estandard usado para la
prueba; y
* el procedimiento estandard usado para
cocinar el alimento.
Anotaciones
de Procedimiento
1. El diseno
del Ensayo Controlado de Cocina ha sido confeccionado
para practicas locales de cocinar. Es por
eso que es
importante especificar las siguientes
condiciones:
* El tipo de ollas y tamanos.
* Los tipos de lena y sus tamanos.
* Uno o dos alimentos estandares tipicos de
la region. En los
lugares donde los alimentos preparados
sean diferentes, seleccione
no mas de dos por cada ensayo y de
preferencia que
uno necesite un cocinado largo y el otro
corto.
* Las tareas y secuencias exactas
requeridas para cocinar el
alimento que se ha seleccionado. Por
ejemplo: "Lleve la primera
olla hasta ebullicion; cambie la primera
y segunda
ollas; lleve la segunda olla hasta
ebullicion; reduzca el
fuego quebrando los extremos carbonizados
de la lena; quite
la primera olla y cocine a fuego lento la
segunda hasta que
la comida quede bien cocinada".
El establecimiento del diseno del ensayo,
puede ser hecho de
cualquiera de las siguientes formas:
llevado a cabo un estudio
completo de las praticas locales de cocinar
para obtener
la informacion deseada; o, contando con un
equipo de tres
a cinco cocineros locales experimentados
que definan o determinen
el o los dos alimentos estandares asi como
la forma especifica
en que deben ser preparados y cocinados
para el ensayo
(ver Apendice III, Cantidades, Efectos de
Escala y,
Otros Parametros Influyentes).
2. Es
importante considerar cual sera el criterio que se use para
considerar a una comida como
"hecha", debido a que esto
determinara el tiempo en el que el ensayo
se da por concluido.
Lo mejor es determinar el tiempo
objetivamente, por
ejemplo: "Las cascaritas del frijol ya
se soltaron", o "las
gachas ya perdieron todas las trazas de
granulamiento". Sin
embargo, aun si los criterios son muy
subjetivos ("La salsa
sabe bien"), debieran mencionarse en
el diseno de ensayo.
Sin importar el criterio usado, el
cocinero(a) debe ser incitado
a ser consistente en sus juicios.
3. La
recuperacion y peso de los brazos y carbones calientes
de una estufa, puede ser simplificado
usando una especie de
cenicero de metal colocado en el fondo de
la camara de combustion
(Figura 2, pag 11). A menudo el cenicero
incluyendo
eds2x12.gif (437x437)

su contenido puede ser considerado como una
unidad y pesado
como tal, restando el peso del cenicero
vacio posteriormente.
No se considera necesario el separar el
carbon de lena
y las cenizas, ya que, el peso de la ceniza
es por lo general
insignificante. Unas tenazas de alambre
(Figura 3,
eds3x13.gif (393x393)

pag 12) se pueden usar para recoger pedezos
aun calientes
de carbon de lena. Los guantes aislantes,
resistentes al
calor son muy utiles para esta operacion.
ENSAYO DEL RENDIMIENTO
DE COCINA
Este ensayo,
mide la razon relativa del consumo de lena para
dos estufas
cuando son usadas en un ambiente normal familiar.
Se trata de
un ensayo prolongado y llevado a cabo con la dispuesta
colaboracion
de familias individuales. En comparacion
con los
ensayos previamente descritos, los resultados del Ensayo
de
Rendimiento de Cocina, pueden proveer de una indicacion
mas confiable
del desempeno de la estufa bajo condiciones reales
de uso
casero. Sin embargo, debido al gran esfuerzo involucrado,
se realiza
normalmente despues de que otros ensayos controlados
han sido
hechos.
Los objetivos
primordiales del Ensayo de Rendimiento de Cocina
son:
*
Estudiar el impacto de una nueva estufa por
encima de toda
la energia casera (Anotacion de
Procedimiento No. 1); y
*
Demostrar a potenciales usuarios la cualidad
de ahorro en
combustible de una nueva estufa en el seno
familiar y, sugerir
practicas de operacion correctivas.
Las
variaciones del Ensayo de Rendimiento de Cocina, pueden tambien
ser
utilizadas en conjuncion con un programa de diseminacion
y propagacion
de estufas (Anotacion de Procedimiento No. 2)
o como parte
de un estudio del uso del consumo familiar de energia
(Anotacion de
Procedimiento No. 3).
Los Ensayos
de Rendimiento de Cocina deberian ser llevados a
cabo por un
investigador entrenado en seguir instrucciones, que
se motiva al
hacerlo y que posea ciertas habilidades numericaas
basicas.
Agentes de extension, maestros de escuela o estudiantes
de secundaria
son muy apropiados para esta tarea. Es importante
que la persona
se encuentre bien motivada a fin de obtener
informacion
util y confiable.
Equipo
*
Una balanza para pesar lena
*
Formularios para registrar los datos y
calculos
*
Ollas, etc., estos deberan ser suplidos por
el encargado de
la familia.
Procedimiento
1. Seleccione
a los encargados de la familia para que participen
en el ensayo (Anotacion de Procedimiento
No. 4). Expliquele
a los miembros de la familia el proposito
del ensayo
y, arregleselas para que ellos midan la
lena cada dia. Incite
a la familia a que use solo una sola estufa
a traves
de todo el ensayo.
2. Recolecte
cualquier informacion necesaria acerca de cada uno
de los miembros familiares participantes.
Por ejemplo, determine
el sexo y la edad de cada persona que
recibe alimentos
y use esta informacion para calcular el
numero de personas
adultas estandard que son servidas
(Anotacion de Procedimiento
No. 5); pregunte por el costo aproximado
del combustible
usado, ya sea en terminos de dinero o en tiempo
utilizado para
recogerla y, obtenga cualquier otra
informacion que le
pueda resultar util para interpetar los
datos finales (Anotacion
de Procedimiento No. 6).
3. Establezca
una area para llevar un inventario de la medida
del consumo de combustible. Cualquier
combustible que entre
o salga de esta area debera ser
contabilizada (Anotacion de
Procedimiento No. 7). Pese toda la lena asi
como cualquier
otro combustible del area bajo inventario.
Estime o mida el
contenido de humedad de la lena (Anotacion
Tecnica No. 4).
4. Establezca
el tiempo de ensayo para siete dias consecutivos.
En caso de no ser posible cuantificarlo
para los siete dias,
calculelo para por lo menos cinco dias
dias. Inicie y termine
el ensayo a la misma hora cada dia
(Anotacion de Procedimiento
No. 8.
5. Visite al
propietario de la casa en forma diaria si esto le
es posible, teniendo cuidado de hacerlo sin
parecer un intruso.
Pese la madera remanente en el area bajo
inventario
y, anada mas lena si lo considera
necesario. Pregunte por el
numero de personas que son atendidas al
dia, y asegurese que
la estufa esta trabajando adecuadamente.
6. Reuna los
resultados al haber transcurrido ocho dias. Calcule
el consumo especifico diario para cada
nucleo familiar,
asi como, el promedio y la desviacion
estandard. Compare los
resultados con otras familias que usen otro
tipo de estufas
(ver Apendice II, Interpretando los
Resultados del Ensayo,
y el Apendice III, Cantidades, Efectos de
Escala y Otras Parametros
Influyentes).
7. Comparta
los resultados con las familias y agradezcales por
su cooperacion.
Anotaciones
de Procedimiento
1. La
introduccion de una nueva estufa puede alterar el tipo
y la cantidad de alimentos cocinados en la
familia. Por - ejemplo,
el resultado puede ser un incremento
sustancial
en el bienestar de la familia, pero
producir poco efecto o
cambio en la cantidad de combustible usado.
O por otro lado,
puede ser que el fuego por estar confinado
a la estufa,
produzca una reduccion en la iluminacion
haciendo necesario
el uso de una lampara de gas o kerosina.
2. Un punto
util como partida para la diseminacion y desarrollo
de estufas mejoradas, es el estudiar las
practicas de cocina
para determinar las costumbres actuales de
cocinar, el tipo
de alimentos cocinados y consumidos, el
tipo de estufas utilizadas,
etc. El estudio puede ser realizado al par
de mediciones
de todo el combustible usado para cocinar.
Esto puede
hacerse tal y como se sugiere en el Ensayo
de Rendimiento
de Cocina.
Mas adelante, en los mismos nucleos
familiares se pueden
construir nuevas estufas y, otros Ensayos
de Rendimiento de
Cocina se pueden realizar despues de que
los responsables
del uso de las estufas hayan tenido la
oportunidad de adecuarse
y acostumbrarse a las nuevas estufas.
Cuando ese momento llegue, el Ensayo de
Rendimiento de Cocina,
puede a su vez ser acompanado de otro
estudio, esta
vez con el usuario para determinar, que tan
bien estan siendo
recibidas las estufas. Otros estudios
posteriores podran
ser llevados a cabo para evaluar otros
parametros tales como
el que mide la durabilidad de la estufa.
Ensayos de Rendimiento
de Cocina podran realizarse con el tiempo
con la
finalidad de evaluar si los ahorros en
combustible obtenidos
permanecen en su mismo nivel y si otros
factores han tenido
a largo plazo, influencias positivas o
negativas en la aceptacion
de la estufa.
3. El uso de
los Ensayos de Rendimiento de Cocina, pueden resultar
tentadores para estimar el potencial de
ahorro de la nueva
estufa, antes de ser ampliamente aceptada y
usada. Para
este proposito, sin embargo, el ensayo
puede ser ampliado
grandemente para que incluya:
* a
mas nucleos familiares, cuidadosamente seleccionados como
representativos de la poblacion
regional;
* a
un periodo de tiempo que incluya los cambios estacionales;
* a
un estudio de la razon a que se deterioran las estufas
y los records de reparaciones; y
* a
un analisis economico que demueste el atractivo economico
de la estufa, tanto para el usuario como
para el constructor.
4. Para
resultados significativos:
*
Los usuarios debieran seleccionarse de un aproximado mismo
nivel economico. Lo anterior reducira la
variacion en
las respuestas y permitira una
interpretacion mas confiable
de los resultados.
*
Las familias participantes debieran consumir al menos un
90% de lena para solventar sus tareas de
cocina.
*
Un minimo de cinco familias participantes se considera
como esencial. Un mayor numero puede ser
necesario de
pendiendo de si la diferencia esperada
en el combustible
entre dos estufas no es similar. (Ver la
Tabla I en la
siguiente pagina).
TABLA I
Numero minimo de nucleos amiliares
necesarios para
ralizar el Ensayo de Rendimiento de Cocina
relativo
a la diferencia esperada en el consumo de
lena
Referencia esperada
Numero minimo de nucleos
en forma porcentual
familiares(*)
en el consumo de lena
10
54
20
14
30
7
40
5
(*) Corresponde a un coeficiente de variacio
de 0.4;
con un nivel de significacion de 10%
(ver Apendice
II).
5. Para los
propositos de esta prueba, el "adulto estandard"
sera definido de acuerdo a la version
simplificada de la formula mas
usada por la Liga de las Naciones, tal como
se muestra en
la Tabla II. (Lineamientos para estudios en
lena, F.A.O.,
Keith Openshaw).
TABLA II
"Adulto Estandard"
definido en terminos de sexo y
edad
Fraccion de
Sexo y Edad
Adulto Estandard
Nino, 0-14 anos
0.5
Femenino arriba de 14
anos 0.8
Masculino, 15-59 anos
1.0
Masculino, arriba de 59
anos 0.8
6. Cualquier
otra informacion reunida para cada familia debe
incluir:
* el numero y tipos de cualesquiera otras
estufas usadas
regularmente (para hacer te, calentar
agua, cocinar cazabe,
etc.);
* la actividad principal del jefe de
familia (de preferencia
debe obtenerse la posible ubicacion del
nivel
economico familiar);
* algunos indicadores facilmente
observables del status
economico o social;
* otros usos dados a la lena ademas del de
cocinar; y
afiliacion tribal,
comunal o cultural.
7. Se
recomienda que en el area bajo inventario no se acumule
mas lena que la que se consumira durante el
ensayo de
1 semana de duracion.
En caso de almacenar una mayor cantidad
de lena de la que se usara, establezca una
area de
inventario que sea menor y de la que se
tomara la lena que
se usara cuando se conduzca el ensayo.
Presione sutilmente
a los miembros del nucleo familiar en el
sentido de que
la unica lena que se use durante el ensayo
sea tomada del
area menor de inventario y que si se
necesita mas lena,
que el ensayista este presente cuando se
aumente la pila
de lena.
El numero de veces que el investigador debe estar
presente en el nucleo familiar para pesar
la lena, dependera
del tamano y de lo adecuado que se haya
realizado
el inventario inicial.
8. Los siete
dias consecutivos del periodo de ensayo que se
recomiendan, reconocen que muchas de las
actividades familiares,
sean llevadas a cabo de acuerdo a una
rutina semanal.
Siete dias, es el periodo de tiempo mas
corto en el
que se incluiran actividades como: dias de
mercado, dias
de trabajo y cualquier practica religosa en
una proporcion
apropiada.
Usualmente ocurre que la persona que
realiza el ensayo, se
muestre renuente a trabajar el dia de la
semana que dedica
a su practica religiosa.
En ese caso, prevea que un sustituto
se encargue de la prueba ese dia, lo ultimo
si le es
posible.
Tenga presente que el ensayo de los siete
dias, general-mente
requiere de ocho dias de medicion (ver
Datos y Formulario
de Reporte de Calculos en la siguiente
pagina).
Similarmente, si el ensayo se planifica
sobre la base de
cinco dias, las mediciones se haran en seis
dias.
9. Diferentes
tipos y tamanos de estufas usadas por diferentes
nucleos familiares pueden introducir
variaciones no
deseadas en los resultados del ensayo.
Para prevenir lo
anterior, el ensayista puede considerar la
posibilidad
de proveer la lena en forma uniforme para
que se use durante
la duracion del ensayo.
Es importante, sin embargo,
que esto no motive al nucleo familiar a
usar mayores o menores
cantidades de lena de las que normalmente
usaria.
ANOTACIONES TECNICAS
1.
Condiciones Climaticas.
Entre los
datos climaticos mas importantes que deben reportarse
durante el
ensayo de la estufa se encuentran: temperatura
del aire,
condiciones del viento y la humedad relativa.
* La
temperatura del aire afecta la taza de perdida de calor
de la estufa y de las ollas.
Por otro lado tambien establece
la temperatura inicial del agua para el
Ensayo del Agua
Hirviendo, las medidas de la temperatura del
aire deben ser
tomadas antes y despues de cada ensayo para
que pueda obtenerse
un valor promedio.
* Las condiciones
del viento afectan el diseno de la estufa y
puede ademas tener un efecto considerable en
el rendimiento
de la misma.
Idealmente, la prueba de las estufas debieran
hacerse solo cuando las condiciones son
calmadas. En lugares
donde esto no sea posible, debe considerarse
la construccion
de una estructura alrededor de la estufa que
prevenga
el movimiento del aire.
El uso de un anemometro manual resulta util
para medir la
velocidad del viento, sin embargo, el
obtener una medida
precisa probablemente sea innecesario,
siendo suficiente
una simple descripcion de las condiciones
del viento.
* La humedad
relativa provee una indicacion del contenido
humedad de lena secada al aire (ver
Anotacion Tecnica No.
3). Es algo que resulta util y simple de
medir mientras
se realiza la prueba de la estufa.
Para este fin, puede
usar un pequeno psicrometro giratorio, un
higrometro de
cabello o un instrumento similar con
resultados satisfactorios.
Recalibre el higrometro frecuentemente,
envolviendolo
en un trapo humedo, dejelo durante cinco
minutos y - ajustelo
al 100% de humedad relativa.
2. Presion
atmosferica y temperatura
La
temperatura normal de ebullicion del agua depende de la presion
atmosferica
local y por lo consiguiente de las condiciones
del tiempo y,
principalmente de la altura sobre el nivel del
mar (H).
A una altitud (H) dada, el punto normal de
ebullicion
puede ser
calculada asi:
[T.sub.e] = (100 - H/300)
[degree]C
donde H se
expresa en metros (un pie equivale a 0. 305 metros)
Por ejemplo,
el punto normal de ebullicion es de 100[degrees]C sobre el
nivel del mar
y, de 95[degrees]C a una altura de 1500 metros sobre ese
mismo nivel.
Para una
temperatura del aire ambiental dada [T.sub.o] el calor neto
(minimo)
necesario para llevar el agua a ebullicion y mantenerlo
a fuego
lento, es proporcional con la diferencia de temperatura
[delta] T =
[T.sub.e] [T.sub.o] y probablemente similar sera el consumo de
lena para
cocinar.
Esto puede
ser considerado si se usa un factor de temperatura
cuando se
calcule el alimento o el agua que se procesara A",
a partir de
las cantidades pesadas A'.
A" = A' ([T.sub.e] -
[T.sub.o])/100
donde la
temperatura de 100[degrees]C, esta considerada como una diferencia
de
temperatura referencial.
Tenga
presente que el tiempo para cocinar se incrementa con temperaturas
de ebullicion
reducidas a grandes altitudes. El
tiempo
de cocinado
se duplica para descensos de temperatura de 5 a
10[degrees]C,
dependiendo del tipo de alimento. Esto
puede influir en
los
resultados del Ensayo de Rendimiento de Cocina pero no tiene
efecto en los
Ensayos de Agua Hirviendo.
3. Humedad y
contenido de agua
La humedad
relativa del aire, HR, controla el equilibrio del
contenido de
agua, X, de la lena secada al aire, que en todo
caso es
humedad. La especie de lena y la
temperatura tambien
tiene alguna
influencia, pero una primera aproximacion util esta
dada por:
masa de agua
----------------- = X [nearly equal
to] 0. 2 HR(*)
masa de lena seca
Por ejemplo,
en aire saturado (HR = 1), un kg. de lena seca contendra
cerca de 0.2
kg. de agua (posiblemente mas). Para
una
humedad
relativa menor, HR = 0.6, el contenido de agua, X, caera
a un valor cercano
a 0.12. Por supuesto que la humedad relativa,
HR, y el
contenido de agua, X, pueden igualmente ser expresados
en forma
porcentual.
Obviamente,
el valor especifico de calentamiento, esto es H.sub.x de
la lena
humeda es menor que el valor de calentamiento o calorico
de la lena
seca, [H.sub.o]. Puede mostrarse
entonces que, para un
contenido de
humedad moderado (X < 0.2)
[H.sub.x]
[nearly equal to] [H.sub.o] (1-X) [nearly equal to] [H.sub.o] (1-1.1 X)
------------------
(*) El
contenido de agua puede ser expresado con referencia a la
cantidad de lena seca como se ha hecho
arriba o, alternamente,
con referencia a la cantidad de lena
humeda:
X' =
masa de agua
------------------
masa de lena humeda
Como una
consecuencia, para un trabajo dado, se hara necesaria
una mayor
cantidad de lena humeda que de lena seca.
Esto puede
ser
considerado calculando un consumo equivalente de lena seca
de una
cantidad medida de lena humeda.
(equivalente
de lena seca) [M.sub.o] = 1-X)
[multiplied by] [M.sub.x] (lena humeda)
4.
Medidas de humedad
El contenido
de agua (X) de lena secada al aire puede estimarse
a partir de
la humedad relativa, HR, (ver Anotacion Tecnica
No. 1) (X =
0.2 HR).
El
procedimiento mas directo y preciso es, efectuar una doble
pesada de la
muestra, ya sea humeda o secada al aire, asi: primero
tal y como se
encuentre, y despues de haberlo secado en
un horno (a
110[degrees]C durante 24 horas o mas, dependiendo del tamano
de la
muestra). Con los datos de [M.sub.x]
(peso humedo) y de [M.sub.o]
(peso seco):
X = ([M.sub.x] - [M.sub.o])/[M.sub.o] O
alternamente: X' = ([M.sub.x] [M.sub.o])/[M.sub.x]
En trabajo de
campo, la primera pesada es hecha en el sitio de
ensayo
([M.sub.x]). La segunda pesada puede
ser hecha posteriormente
en un
laboratorio.
Alternamente,
el contenido de agua, X, puede ser medido con un
probador
operado a baterias el cual usa la resistencia electrica
de la muestra
como un indicador de su contenido de agua o
humedad.
Los resultados dependeran ligeramente de las
especies
de lena y de
la calidad del instrumento utilizado.
5. El Peso
(masa)
La operacion
de pesar puede realizarse con una buena balanza.
Para ensayos
de campo, los instrumentos de lectura directa son
preferibles,
pues no se necesita de ningun ajuste de los pesos.
Las balanzas
de resorte son adecuadas si poseen una amplia escala
de lectura,
buen poder de resolucion o analisis y si son
usadas dentro
de un rango del 20 al 100% de su capacidad total.
Las balanzas
de resorte deben ser ocasionalmente chegueadas con
pesos
calibrados (1 litro de agua pesa 1 kg., etc.
Un conjunto
de balanzas
con diferentes capacidades de escala total debieran
usarse, por
ejemplo, de 1, 5 y 15 kg. Comparelas
una con otra,
debieran
darle la misma lectura para la misma carga.
La canasta de
pesaje usada en una balanza, debiera ser tan liviana
como sea
posible, ya que la precision se pierde cuando la
diferencia
entre dos pesadas es relativamente pequena.
6. Volumen
Los volumenes
se pueden medir con botellas graduadas.
Uno puede
tambien usar
botellas disponibles en el comercio pero que
tengan
volumenes conocidos (1/4, 1/3, 3/4, 1/1 litro).
Una balanza
puede hacer
el trabajo, si recuerda que 1 litro de agua
pesa 1 kg.
7.
Temperatura
Los
termometros de mercurio son por lo general precisos pero,
tambien son
faciles de quebrarse. Si el vidrio se
raja o quiebra,
la columna de
liquido puede separarse. Termometros de
repuesto
deben
mantenerse a mano. Los termometros
metalicos son
mas
resistentes pero necesitan calibraciones periodicas que no
necesitan los
de vidrio. Termistores y Termocuplas
operados a
bateria y
recargables, han probado ser muy utiles en trabajo
de campo, sin
embargo procure no usar modelos con lectura digital
dificultosa
cuando son leidos bajo exposicion directa de
la luz
solar. En cualquier caso, busque
instrumentos con escala
grande pues
ellos le ofrecen una mejor resolucion y precision.
Antes de usar
un termometro para ensayos de estufa, pruebelo
con agua
visiblemente en ebullicion y determine cualquier diferencia
entre la
lectura y el punto normal de ebullicion calculado
para esa
altitud de preuba:
Punto de ebullicon real =
100 altura (metros)
---------------------
300
Para los
Ensayos de Agua Hirviendo, el fuego lento significa
que la
temperatura del agua se mantiene a un punto no menor de
5[degrees]C
por debajo de la temperatura de ebullicion real.
Si la temperatura
del agua cae
por debajo de este punto, debe descontinuarse
la prueba.
8.
Descripcion de la estufa y la olla
Los ensayos
se refieren a una combinacion de la estufa y de la
olla, donde
las dimensiones internas son las mas importantes,
no asi las
externas. Por lo tanto:
*
Debe dar una descripcion completa de la olla
(tamano, forma,
peso, capacidad, material, etc.).
*
Debe dar una descripcion funcional de la
estufa (dimensiones
internas, peso total, grosor de las
paredes, etc.). Haga dibujos
mostrando la vista en planta, la vista
frontal, el
corte con las ollas colocadas, etc. (ver
figura 4).
eds4x45.gif (600x600)

*
Asegurese de reportar que tan bien ajustan
las ollas en la
estufa.
A veces las dimensiones netas internas de la camara
de
combustion o de fuego y de los ductos de gases de chimenea
no pueden ser medidas directamente.
Pueden ser calculadas
a partir de la informacion ya obtenida
previamente; por
ejemplo, sustrayendo la altura de la olla
de la distancia
combinada desde el topo de la olla hasta el
tope de la estufa
y desde el fondo de la olla hasta el fondo
del ducto
de los gases de chimenea o de la camara de
combustion
(W = X + Y - Z, en la figura).
Es
dificultuoso reportar la forha en que una olla encaja en
los hoyos de
la estufa, el hoyo para las ollas debe ser descrito
en la forma
mas clara posible. Reporte el grosor de
la parte
superior de
la estufa y los diametros de los hoyos exterior
e
interior. Las longitudes son facilmente
medidas. Si no posee
una cinta de
medir a la mano, recuerde que el papel estandard
ISO-A4 es de
297 x 210 mm; usted puede usar papel cudriculado
de 5 mm. de
su cuaderno de notas.La palma de la mano de un
hombre es de
aproximadamente 20 cm. El diametro de
la olla
esferoidal se
puede obtener a partir de la circunferencia L
conforme se
mide, por ejemplo, con una cuerda asi:
Diametro = L/3.14
Para medir
las dimensiones internas de la estufa que son dificiles
de alcanzar,
puede recurrir al uso de un par de palitos,
le resultara
mas facil y util. Agarre los extremos
de los palitos
con una mano
y metalos dentro de la estufa. Extienda
las
puntas hasta
que alcance el espacio a ser medido.
Mantenga esta
posicion de
"V" mientras quita los palos y, mida la distancia
entre las
puntas con cualquier instrumento convencional
(ver la
Figura 5).
eds5x47.gif (353x353)
9.
Variacion de la lena
Los
diferentes tipos, tamanos y condiciones de la lena son una
fuente
potencial de grandes variaciones en todos los ensayos
que se han
presentado aqui.Las siguientes precauciones pueden
ayudar a
minimizar esta variacion:
*
Utilice solo lena que haya sido
completamente secada al aire.
El tiempo de secado para lenos de 3 a 4 cm.
de diametro
puede ser de tres a ocho meses, dependiendo
de la temperatura,
humedad relativa, grado de proteccion
contra la
lluvia y la llovizna, de la cantidad de
aire circulando a
traves de la pila de lena y, la especie de
lena. Generalmente
la lena secada al aire es de peso liviano y
fragil. El
agua caliente y el vapor no debiera
escaparse de la lena
conforme se va quemando.
*
La lena podra ser cortada de un tamano
uniforme (3 x 3)
cm., por ejemplo) y solo esta lena sera
usada para realizar
los ensayos en la estufa.
Mientras lo anterior da uniformidad,
usualmente es dificultuoso encender y
mantener una llama
sin pedazos mas pequenos o afilados.
Alternamente, si una serie de ensayos es
planeada, prepare
de antemano la pila de lena que se usara
para cada ensayo.
Las pilas deberan ser tan similares como
sea posible en terminos
del tipo y tamano de lena.
Estos deberan ser atadas
fuertemente para prevenir la perdida de
cualquier pedazo.
El sellado de cada pila de lena en una
bolsa plastica grande
protegera la lena de la humedad exterior.
*
Proteccion de la lena de insectos
trepanadores.
10. Encendido
Para los
ensayos del Agua Hirviente y el Controlado de Cocina,
es importante
enceder el fuego en la forma en que normalmente
se hace en el
nucleo familiar o en el area. Esto puede ser
hecho, por
ejemplo usando kerosina. Tres lenos
pueden ser sumergidos
verticalmente
dentro de la kerosina (aproximadamente
a 8 cm. de
profundidad) durante aproximadamente 5 segundos,
decantando el
exceso de kerosina. Esta lena debiera
contener
cerca de 10
gramos de kerosina (chequee este dato pesando la
lena antes y
despues de sumergirla). Si lo prefiere
una cantidad
medida de
kerosina (menor de 10 gramos) puede ser rociada
sobre la
lena. El tiempo de inicio del ensayo
debe coincidir
con el
encendido de los pedazos de lena remojados en kerosina.
Si lo desea,
la kerosina utilizada puede considerarla como
combustible
utilizado, considerando que 1 gramo de kerosina
equivale a
aproximadamente 2 gramos de lena, sin embargo,
la energia
involucrada es tan pequena que puede ser ignorada
en lo;
calculos sin introducir error.
VOCABULARIO
ADULTO
ESTANDARD EQUIVALENTE: Una forma estandard para definir
y comparar el
numero de personas en un nucleo familiar.
Ver
Tabla II ,
pagina 35.
ALTA
POTENCIA: Maxima potencia de la estufa.
La fase de alta
potencia en
el Ensayo de Agua Hirviendo lleva el agua a ebullicion
tan
rapidamente como le es possible y, la mantiene a ese
nivel de
calor durante 15 minutos. Ver pagina 7.
BAJA
POTENCIA: Minima potencia de la estufa. La fase de baja
potencia en
el Ensayo del Agua Hirviendo requiere que el fuego
sea mantenido
al nivel mas bajo necesario para hervir agua a
fuego lento
durante una hora. Ver pagina 7.
COEFICIENTE
DE VARIACION (CDV): Medida normalizada de variabilidad,
es
independiente de las unidades de la cantidad siendo
medida.
Vea Apendice II.
CONSUMO
ESPECIFICO (CE): Combustible consumido dividido por
una medida
del trabajo realizado. Ver Apendice I.
CONSUMO ESPECIFICO
DE COMBUSTIBLE: Una expresion de la cantidad
total del
alimento cocinado en el ECC, dividido entre la
cantidad
total de lena usada para cocinar. Vea
el formulario
de datos y
calculos del ECC en la pagina 25.
CONSUMO
ESPECIFICO DIARIO (CED): Una expresion de la cantidad
total de
alimento cocinado en el ECC, dividido por la cantidad
total de lena
usada para cocinarla. Ver el formulario
de calculos
y datos del
ECC en la pagina 37.
CONSUMO
ESPECIFICO ESTANDARD (CEE): Una expresion usada en el
EAH para
describir el equivalente de lena seca consumida en relacion
a la cantidad
de agua evaporada de la primera olla en
la
estufa. Ver el Formulario de Calculos y
Datos del EAH en
la pagina 15.
DESVIACION
ESTANDARD: Un estadistico usado como una medida de
la dispersion
en una distribucion, indicando la cantidad de variabilidad
dentro de una
serie de medidas. Ver Apendice II.
EFICIENCIAS
PARCIALES: Fracciones de la eficiencia total de
un sistema.
Para una estufa de cocinar estas deben incluir
eficiencia de
la combustion, eficiencia en la transferencia de
calor,
eficiencia de la olla y eficiencia del control Ver
Apendice I.
ENSAYO
CONTROLADO DE COCINA (ECC): Es un ensayo de laboratorio
intermedio
usado para comparar el combustible y tiempo utilizado
para preparar
una comida en diferentes estufas y, para determinar
el rango de
comidas que una estufa puede preparar en un
area
dada. Ver pagina 19.
ENSAYO DEL
AGUA HIRVIENDO (EAH): Un ensayo simple de laboratorio
para medir el
combustible y tiempo necesario para cocinar
un alimento
en forma simulada. Ver pagina 6.
ENSAYO DE
RENDIMIENTO DE COCINA (ERC): Una prueba de campo
que mide el
consumo de combustible en una situacion normal del
nucleo
familiar. Ver pagina 29.
GRADOS DE
LIBERTAD: El numero de ensayos medidos menos el numero
de parametros
que han sido estimados en las mediciones.
Ver Apendice
II.
KEROSINA:
Combustible a base de petroleo, conocido como "parafina"
en el ingles
britanico.
PORCENTAJE DE
CALOR UTILIZADO (PCU): Una expresion comunmente
usada para
describir el rendimiento de la estufa, es calculada
midiendo la
ganancia de energia en todas las ollas (incremento
en la
temperatura mas las perdidas de evaporacion),
dividido por
el calor suministrado por la lena o el carbon.
Ver Apendice
I.
PRUEBA T:
Usado para determinar si un parametro usado en una
prueba es
siqnificativamente diferente para distintas estufas.
Ver pagina 65
RAZON DE
CONSUMO: Es una expresion usada a veces en el Ensayo
del Agua
Hirviendo para describir la cantidad de agua evaporada
de la primera
olla en relacion al aqua evaporada de todas
las ollas en
la estufa; Se calcula como: RC - [A.sub.1]/[A.sub.1] = [A.sub.2] + [A.sub.3] +
...
[A.sub.n], donde A es la cantidad de agua evaporada.
ABREVIATURAS
C
Centigrado
ECC
Ensayo Controlado de Cocina
cm
centimetro
CDV
Coeficiente de Variacion
OIE
Organizacion Internacional de
Estandards
kg
kilogramo
ERC
Ensayo de Rendimiento de Cocina
kW
kilowatt
m/s
metros por segundo
PCU
Porcentaje de Calor Utilizado
HR
Humedad Relativa
CE
Consumo Especifico
CEC
Consumo Especifico de Combustible
CEE
Consumo Especifico Estandard
[t.sub.e]
tiempo para ebullir
EAH
Ensayo del Agua Hirviendo
CED
Consumo Especifico Diario
APENDICE
I.
Conceptos de Eficiencia
II.
Interpretando los Resultados del Ensayo
III.
Cantidades, Efectos de Escala y Otros
Parametros
Influyentes
IV.
Participantes en la Reunion de Arlington
V.
Participantes en el "Seminario de Estufas
de Lena" en Louvain
VI.
Participantes en la Reunion de Marsella
VII.
Otros Criticos
APENDICE I
Conceptos de
Eficiencia
Existen
muchas y diferentes maneras para visualizar el rendimiento
y medir la
eficiencia de una estufa. Un metodo ampliamente
usado, es el
que compara la energia que entra a la estufa
con la
energia que sale de ella y de alli se calcula el
Porcentaje de
Calor Utilizado (PCU). Un concepto de eficiencia
que se
considera mas amplio, considera a las perdidas energeticas
causadas por
la evaporacion. Una vez alcanzado el punto
de
ebullicion, ya sea para agua o para comidas, ya no se absorbe
mas calor;
solo se produce un exceso del mismo. Por lo
anterior, una
estufa disenada para mantener la temperatura de
ebullicion
sin producir excesos de calor, resulta ser la mas
eficiente. En
esta seccion, se revisaran algunos metodos para
medir la
eficiencia.
1. Perdidas
de Energia
La Figura 6 muestra un diagrama
eds6x57.gif (540x540)

del flujo de energia para una estufa
de lena. La comida absorbe
calor util, pero las perdidas de
calor estan asociadas con :
- combustion incompleta de la lena
- transferencia de calor de la estufa
a los alrededores
transferencia de calor de toda
la superficie de las ollas (incluyendo
las tapaderas)
- perdidas de calor a traves de la
chimenea
- escape del vapor termostatico
de las ollas debido a una potencia
excesiva de la estufa.
2.
Eficiencias Parciales
Diferentes formas de eficiencias parcial se
sugieren, por
ejemplo:
eficiencia de combustion
[n.sub.c] = calor generado por la
combustion
-----------------------------------
potencial de energia en lena
eficiencia en la transferencia de calor
[n.sub.t] = consumo bruto de calor en la
cazuela
------------------------------------
calor generado
eficiencia de la olla
[n.sub.p] = consumo neto de calor en
calor bruto-perdidas por
la olla
las superficies
------------------------
=
------------------------
consumo de calor bruto
consumo de calor bruto
eficiencia del control
[n.sub.r] = calor absorbido por la comida
----------------------------------
consumo neto de calor en la
olla
estas eficiencias pueden asociarse con
estufas trabajando en
forma predictible o de una manera bien
definida, tales como a
un nivel de potencia unico o, con normas de
cocinar definidas.
3. Eficiencia
Total
Generalmente se usa una "eficiencia
total de la estufa". Esta
es el producto de las tres eficiencias
parciales descritas
anteriormente.
n' = consumo neto de calor en la olla
---------------------------------
= [n.sub.c] [mutliplied by] [n.sub.t]
[multiplied by] [n.sub.p]
potencial de energia en lena
Se puede
definir una eficiencia de cocina asi:
n = calor
absorbido por la comida
-------------------------------
potencial de energia en lena
Este nivel de
eficiencia final, considera a todas las perdidas
de calor. No
es mis que el resultado de multiplicar a la eficiencia
total de la
estufa por la eficiencia de control.
n = [n.sub.c]
[multiplied by] [n.sub.t] [multiplied by] [n.sub.p] [multiplied by] [n.sub.r] =
n' [multiplied by] [n.sub.r]
4. Consumo
Especifico
Alternamente,
el rendimiento de la estufa se puede expresar por
medio del
consumo especifico en lugar de usar las eficiencias.
Por ejemplo a
un nivel de eficiencia de cocina:
CE = masa de
lena consumida
----------------------
masa de comida cocinada
Existe una
relacion con la eficiencia de cocina, pues:
n = calor
absorbido por la comida cocinada
--------------------------------------
potencial de energia en lena
n = (masa de
comida cocinada) [multiplied by] c [multiplied by] [delta]t
---------------------------------------------------------------------
(masa de lena consumida) X valor calorico
Por lo tanto:
n = 1
c [multiplied by] [delta]t
----
[multiplied by] --------------------------
CE
valor calorico
donce C
representa el calor especifico de la comida y, T representa
el cambio de
temperatura (de la ambiental a la de ebullicion).
CE =
1
c [multiplied by] [delta]t
---- [multiplied by]
----------------------------
n
valor calorico
5. Tendencias
Generales Esperadas y Correlaciones
La eficiencia
de combustion puede
ser
relativamente alta a la salida
de una estufa
de alta potencia
(Figura 7).
Sin embargo, por
eds7x60.gif (393x393)

lo general
una estufa tiene un rango
de poder
limitado, [P.sub.max] - [P.sub.min']
o, flexible,
[P.sub.max]/[P.sub.min]. Abajo del
nivel de
potencia [P.sub.min'] no es posible
mantener una
combustion estable,
por lo
consiguiente la eficiencia
de combustion
desaparece.
La eficiencia
en la transferencia
de calor se
espera que aumente ligeramente
cuando se
reduzca la potencia
de la estufa
(Figura 8).
eds8x60.gif (393x393)

Esto es una
bien conocida tendencia
en cualquier
intercambiador
de calor.
La eficiencia
de la olla se puede
representar
como:
[n.sub.p]
= 1 - perdidas por la olla
(-------------------------)
consumo bruto de calor
Para una
temperatura dada, las perdidas
en la olla se
espera que
sean
constantes; de alli que la
eficiencia de
la olla decrezca
conforme la
potencia se reduce (Figura 9).
eds9x60.gif (353x353)

Sera cero
cuando el consumo
de calor
bruto iguale a las
perdidas
ocasionadas por la olla.
Finalmente,
la eficiencia de control
tiende a ser
uno, siempre y
cuando el
agua no este en ebullicion.
Cae a un
valor cercano a cero
cuando se
genera vapor pues, es
poco el calor
que puede adicionalmente
ser absorbida
por la comida
(excepto
cuando se cocinan pedazos
grandes)
(Figura 10).
eds10x61.gif (317x317)
De lo
anterior, puede observarse
que la
eficiencia total de la estufa
es cero
cuando, la olla es
cocinada a
fuego lento, sin producir
vapor. En
caso de que la estufa
no pueda ser
operada a este bajo
nivel de
potencia, la que sera
cero, sera la
eficiencia de cocina,
y no la de la
estufa.
6. Eficiencia
en los Ensayos del Agua Hirviendo.
La eficiencia
total de la estufa puede ser medida en los Ensayos
del Agua
Hirviendo, calentando la estufa a alta potencia o,
calentandola
a un nivel de potencia controlado en el que la generacion
de vapor
simule al calor absorbido, Se puede dibujar
una grafica
de potencia vrs eficiencia, usando los limites de
potencia
[P.sub.min.] - [P.sub.max.]
La forma de
medir la eficiencia de cocina es similar. Solo tenga
presente que
en este caso, la generacion de vapor es una perdida.
A niveles de
potencia de cocinado a fuego lento, la eficiencia
de cocina se
aproxima al valor de cero. El concepto de
eficiencia de
cocina, por lo consiguiente, ha sido aplicado a
un ciclo que
incluye a ambos, el perfodo de calentamiento y
el de,
cocinado a fuego lento. En este caso, sin embargo, la
eficiencia de
cocina desciende conforme el tiempo de cocinado
a fuego lento
se incrementa.
Se obtiene un
mejor enfoque a este problema usando los conceptos
de consumo
especifico.
CE = 1
c[multiplied by][delta]t
= [delta]t
c
--- ------------------------
-------- [multiplied by] ---------------
n
valor calorico
n valor
calorico
Cuando la
eficiencia tiende a cero durante el proceso a fuego
lento, el CE
no tendera al infinito (lo cual carece de sentido).
La razon para
esto es que tambien el cambio de temperatura (T)
es cero.
Por razones
practicas, el reporte del Ensayo del Agua Hirviendo,
debiera no
solo ofrecer el consumo especifico, sino que tambien
los limites
de potencia y de evaporacion. Lo anterior hara
mas facil
predecir los resultados de los ensayos de cocina a
partir de
simples Ensayos del Agua Hirviendo como se muestra
en la
Anotacion de Procedimiento No. 5 bajo el titulo de Ensayo
del Agua
Hirviendo.
Las
eficiencias de cocina, pueden ser comprobadas en forma mas
realista en
los Ensayos de Cocina. De nuevo, este concepto debiera
ser ampliado
a todo el ciclo de cocinado. Sin embargo,
en los
Ensayos de Cocina, el concepto de consumo especifico es
amplio v
mayormente preferido.
La tabla III
resume informacion del Ensayo de Agua Hirviendo
edsx64.gif (600x600)

(EAH) , y
muestra como los datos que se obtienen de este
ensayo pueden
ser usados para juzgar el rendimiento de una
estufa en
ensayos reales de cocina. En la parte superior
de la tabla
se encuentra irformacion de Ensayos de Agua Hir
viendo
correspondientes a dos modelos de estufa. En la
parte
inferior, esa informacion es aplicada a dos situaciones
imaginarias
de cocina. En el primer ensayo, 4 Kg.
de comida son
calentados hasta ebullicion y luego son cocinados
fuego lento
durante 90 minutos. En el segundo
ensayo se
repite la operacion exactamente, con la excepcion
de que el
cocinado a fuego lento se reduce a 15 minutos.
La cantidad
de comida cocinada viene expresada por:
A' = 4 kg.
La
evaporacion esperada de agua, [A.sub.e] , se calcula a partir
de la razon
de evaporacion en el Ensayo de Agua Hirviendo
de la
duracion del ensayo de cocinado.
La comida y
agua inicialmente usada viene dada por:
A' + [A.sub.e] = A
El tiempo
para llegar a ebullicion, se espera que sea aproximadamente
proporcional
a la comida y agua iniciales
[(Tiempo para
hervir).sub.cocina] =
comida y
agua inicial (ECC)
[(tiempo para
hervir).sub.EAH] x
---------------------------
agua
inicial (EAH)
* El consumo
esperado de madera es la suma de:
- lena usada para hervir: [P.sub.max] x
tiempo para hervir
- lena usada en fuego lento: [P.sub.min] x
tiempo de cocinado a
fuego lento
* El consumo
especifico esperado se obtiene de:
C E = lena para hervir + lena para cocinado
a fuego lento
---------------------------------------------------
agua evaporada, olla #1
El enfoque
anterior, ofrece un estimado, no una garantia.
El Consumo de
lena podra ser mayor que la mostrada debido a
una
flexibilidad dinamica limitada, a un control pobre de
la estufa o a
otras razones,
APENDICE II
Interpretando los
Resultados del Ensayo
La serie de
Ensayos del Agua Hirviendo, Controlado de Cocina o,
del
Rendimiento de Cocina, ofrecen muchas medidas de los mismos
parametros.
Con el fin de obtener la mayor informacion e
introspeccion
de estos
ensayos, resulta util realizar unos pocos y relativamente
sencillos
calculos estadisticos.
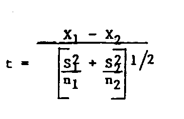
El primer
calculo a hacer a partir de un numero de ensayos, como
los de cosumo
especifico de combustible, consumo especifico
estandard,
etc., es el promedio o media aritmetica.
La media
aritmetica
del parametro X de n valores, viene dado por:
(1)
edsxeq1.gif (180x540)
El segundo
estadistico de importancia que debe calcular es la
desviacion
estandard. Esta caracteriza a la
variabilidad entre
las diferentes
pruebas para un mismo parametro. La
desviacion
estandard
viene dada como:
(2)
edsxeq2.gif (162x486)
El cociente
de la desviacion estandard y la media, da como resultado
a un
parametro conocido como el Coeficiente de Variacion
(CDV).
El CDV es una medida normalizada de la
variabilidad la
cual, es
independiente de las unidades de la cantidad siendo
medida.
(3)
edsxeq3.gif (130x393)
El calculo de
la media, la desviacion estandard y del CDV, debiera
ser aplicado
a ensayos de series individuales en los que,
el CEE, CED,
el PCU, etc., estan siendo determinados, lo mismo
se aplica a
los ensayos de cocinado y cocina donde la diferencia
en consumo de
combustible o CED entre dos diferentes tipos de
estufa o
condiciones de operacion estan siendo estudiados.
En
el ultimo
caso, el parametro de ensayo es primero promediado
para cada
nucleo familiar/cocina (en caso de que se esten realizando
ensayos
multiples para cada cocinero), y posteriormente
promediados
entre nucleos familiares/cocineros para determinar
el promedio
total de uso o de ahorro. El valor
medio de una
cantidad se
puede estimar mas precisamente conforme se practiquen
mas medidas
de la cantidad involucrada. El error
estandard
de la media
calculada, corresponde a la precision con la
cual
realizamos este estimado.
(4)
edsxeq4.gif (130x393)
donde n es el
numero de medidas y S es la desviacion estandard.
Existe un 95%
de probabilidades de que la media real caiga dentro
del rango de
[+ or -] del valor de la media estimada (ver ejemplo
abajo).
La variabilidad puede ser evaluada dentro
del nucleo
familiar o,
entre varios nucleos familiares.
La tabla IV,
muestra los resultados de un conjunto de Ensayos de
Rendimiento
de Cocina, en los que se compara el sistema de fuego
abierto o de
"tres piedras" y de estufas de lena disenadas por
un voluntario
del Cuerpo de Paz, en Kaya, Upper Volta (Hooper,
1980).
Las pruebas realizadas sobre la base de una comida,
fueron
llevadas a
cabo por voluntarios del Cuerpo de Paz (Schroeder,
1981).
El consumo de combustible por comida, fue
evaluado en
seis nucleos
familiares, con un total de 9 a 13 ensayos realizados
por cada
casa.
TABLA IV
Datos del Monitoreo del Rendimiento
de Cocina a partir de
una Serie de Ensayos con Fuego
Abierto y estufas
tipo
"Kaya"
Nucleo
Tamano del
Lena usada por comida
Ahorro de lena de
Familiar
Nucleo
(kg) (*)
la estufa "Kaya" en
relacion al fuego abierto.
fuego
estufa
(kg/
abierto
"Kaya"
comida)
%
1
12
3.72 (5)
3.00
(4) 0.72
19
edsxeq5.gif (117x437)

2
6
3.69 (7)
2.84
(5) 0.85
23
3
8
2.58 (6)
1.88
(6) 0.70
27
edsxeq6.gif (126x475)

4
14
4.45 (4)
3.05
(6) 1.40
31
5
6 3.82
(6)
2.13 (7)
1.69
44
6
10
3.10 (4)
2.42
(6) 0.68
22
3.56 (32)
2.55 (34)
1.01 28
(*) Los
numeros entre parentesis se refieren al numero de comidas
sobre las cuales se promedio el consumo de
lena (combustible).
Los
resultados de las pruebas dentro de cada nucleo familiar para
cada estufa
en particular, son primero promediados como se
muestra en la
tabla. Luego, el acto de promediar
todos los nucleos
familiares,
se realiza con el fin de calcular los ahorros
totales en
promedio de lena. En este ejemplo, el
ahorro promedio
es de 1.01
kg/comida, o si se quiere, el 28% del consumo de
lena en un
fuego abierto.
Un alto grado
de variabilidad entre los ensayos (es decir, para
CDV mayores
del 30%), indican que existen uno o mas factores que
no fueron
controlados en el desarrollo de las pruebas y que influyeron
grandemente
en los resultados. En nucleos
familiares
donde se
desarrollen Ensayos del Rendimiento de Cocina, se esperan
altos niveles
de variabilidad, pero esto no deberia ocurrir
en pruebas de
laboratorio realizadas con un estricto control.
El promedio y
la desviacion estandard pueden ser usados para
calcular
intervalos de confianza. Asumiendo que
los resultados
de una serie
de calculos del mismo parametro estan normalmente
distribuidos,
el intervalo de confianza del 95% estara dado por:
(5)
Esto
significa que las probabilidades de que el parametro que
se mida se
encuentre entre [bar]X - 2S y [bar]X + 2S es del 95%.
La
comparacion del consumo de lena, CCE, eficiencia, etc., entre
dos
diferentes tipos de estufa, o condiciones de operacion es una
prueba comun
y objetiva. La prueba "t" de
Student se usa para
determinar si
el parametro de ensayo es significativamente diferente
para diversos
tipos de estufa o condiciones de operacion,
asi como la
significancia de cada diferencia. A fin
de efectuar
la prueba
"t", deben calcularse la media y la desviacion estandard
de cada grupo
de pruebas. Luego, el valor de
"t" puede calcularse
asi:
(6)
donde los
subindices 1 y 2 se refieren a cada estufa o, a cada
condicion de
operacion. [bar]X, S, y n, correponden
a los valores
del promedio,
la desviacion estandard y al numero de ensayos
respectivamente
y para cada situacion.
El valor
calculado de "t", es luego comparado con los valores de
"t"
dados en una tabla para determinar si la media de un grupo
es
significativamente mayor que la media del otro.
A continuacion,
encontrara
una tabla resumida con valores de "t".
Los valores
de la tabla
estan listados como una funcion de los "grados
de
libertad" y el nivel de significancia.
Los grados de libertad
representan
simplemente el numero de medidas de prueba, menos
el numero de
parametros que han sido estimados sobre la base de
las
mediciones.
TABLA V
Tabla T
Grados de
Nivel de significancia [infinity]
(%) (*)
libertad
10
5 2.5
1
0.5
1
3.08 6.31
12.70
31.80 63.70
2
1.89 2.92
4.30
6.98
9.92
3
1.64 2.35
3.18
4.54 5.84
4
1.53 2.13
2.78
3.75 4.60
5
1.48 2.01
2.57
3.36 4.03
6
1.44 1.94
2.45
3.14 3.71
7
1.42 1.90
2.36
3.00 3.50
8
1.40 1.86
2.31
2.90 3.36
9
1.38 1.83
2.26
2.82 3.25
10
1.37
1.81
2.23 2.76
3.17
11
1.36 1.80
2.20
2.72 3.11
12
1.36 2.78
2.18
2.68 3.06
13
1.35 1.77
2.16
2.65 3.01
14
1.34 1.76
2.14
2.62 2.98
15
1.34 1.75
2.13
2.60 2.95
16
1.34 1.75
2.12
2.58 2.92
17
1.33 1.74
2.11
2.57 2.90
18
1.33 1.73
2.10
2.55 2.88
19
1.33 1.73
2.09
2.54 2.86
20
1.32 1.72
2.09
2.53 2.84
21
1.32 1.72
2.08
2.52 2.83
22
1.32 1.72
2.07
2.51 2.82
23
1.32 1.71
2.07
2.50 2.81
24
1.32 1.71
2.06
2.49 2.80
25 1.32
1.71
2.06 2.48
2.79
26
1.32 1.70
2.06
2.48 2.78
27
1.31 1.70
2.05
2.47 2.77
28
1.31 1.70
2.05
2.47
2.76
29
1.31 1.70
2.04
2.46 2.76
30
1.31 1.70
2.04
2.46 2.75
[infinity] 1.28
1.64
1.96 2.33
2.58
(*) Este es
el nivel de significancia de un lado que se aplica
para probar
si la media de una poblacion es mayor que la media
de otra.
En este caso:
Grados de Libertad = [n.sub.1]
+ [n.sub.2] - 2
El nivel de
significancia es el porcentaje de probabilidad de
que el resultado
que indica la prueba "t", sea falso.
De alli
que, la
diferencia estadistica entre medias, a partir de los
dos grupos,
se incremente conforme disminuya el nivel de significancia.
La tabla para
la prueba "t", se usa comparando los valores de
"t"
calculados con los de la tabla, usando los grados de libertad
apropiados.
Se puede decir que la media de un grupo de
pruebas es
mayor que otro, a un cierto nivel de significancia
si, el valor
calculado de "t" es mayor que la cifra que aparece
en la tabla a
ese nivel.
La prueba
"t" se puede ilustrar mediante el uso de los datos del
Ensayo de
Rendimiento de Cocina que se presentaron en la pagina
29.
Los ensayos a fuego abierto del nucleo
familiar, promediaron
[X.sub.1] =
3.56, [S.sub.1] = 0.644 y, [n.sub.1] = 6.
Los resultados para la estufa
tipo
"Kaya", X2 = 2.55, [S.sub.2] = 0.485 y, [n.sub.2] = 6.
El valor que
resulta de t
usando la ecuacion 6 es de 3.07. Ademas
existen
6 + 6 - 2 =
10 grados de libertad, pues las medias de cada grupo
han sido
calculados. Al usar la tabla puede
verse que el valor
de
"t" calculado es mayor que la cifra dada para un nivel de
significacion
del 1%, (2.76) pero que es menor para un nivel
de
significancia del 0.5% (3.17). Por lo
tanto existe menos
del 1% de
probabilidad de que el ahorro de lena obtenido se haya
debido a una
casualidad. Ademas, la ecuacion 11, nos
indica que
el intervalo
de confianza del 99% para el consumo especifico de
lena es de
1.01 [+ or -] (2.76 x0.108 x 3.055) = 1.01 [+ or -] 0.91 kg/comida.
Lo anterior significa
que existe un 99% de probabilidad de
ahorrar entre
0.10 y 1.92 kg/comida. Esto es
consistente con el
intervalo de
confianza del 95% que se calculo para la estufa
"Kaya"
y que, se discutio anteriormente.
Esta prueba
puede usarse tambien para comprobar la forma en que
factores no
controlados en los ensayos de cocinado y cocina
afectan la
economia de lena. Esto se hace
dividiendo la poblacion
del ensayo en
dos grupos, de acuerdo al factor de interes.
La division
puede hacerse juntamente con aspectos socio-economicos
(por ejemplo,
ingreso alto/bajo, tamano de familia, grande/
pequena) o
basarse en un factor relacionado con la cocina (por
ejemplo,
tamano de olla). Si se observa una
relacion significante
entre la
economia de lena y otros factores relacionados
con la
cocina, puede resultar apreciable estudiar a ese factor
en forma mas
sistematica usando el Ensayo del Agua Hirviendo.
Finalmente,
es posible reducir el consumo de lena incentivando
costumbres
que tengan correlacion con economias altas de lena
(y viceversa
en caso de costumbres ineficientes).
Seleccion del
Tamano de Muestra
El analisis
estadistico de los resultados del ensayo, puede resultar
edsx750.gif (600x600)

util ademas
para escoger un tamano apropiado de muestra
(esto es, el
numero de ensayos que deben realizarse).
Es posible
seleccionar
un tamano de muestra para ensayos comparativos
basandose en
la diferencia anticipada de medias, variabilidad y
en el nivel
de significancia deseado. Como una
alternativa, se
puede
realizar un relativamente pequeno numero de ensayos con
cada estufa o
condicion de operacion, digamos cerca de cinco de
cada
uno. Entonces, se calcula el nivel de
significancia de la
diferencia de
medias y, se pueden realizar mas ensayos hasta obtener
unnivel de
significancia adecuado, lo anterior, si ese nivel
adecuado no
se ha obtenido en la primera ronda de pruebas
(y asumiendo
que las pruebas iniciales reportan resultados alentadores).
El nivel de
significancia ([alpha]) con el cual, las medias de dos muestras
de datos
pueden ser distinguidas, depende del numero de mediciones
(tamano de
muestra), la desviacion estandard de las mediciones
y, la
diferencia entre las medias de la muestra.
En caso
que el nivel
de significancia (a) equivalga a la desviacion estandard
total para
las dos muestras (el denominador de la ecuacion
6) dividido
entre el promedio de todas las pruebas,
(7)
edsxeq7.gif (130x393)
(8)
edsxeq8.gif (130x393)
y que
"d" sea la diferencia entre las medias de las dos muestras
dividido
entre el promedio de todas las pruebas,
(9)
edsxeq9.gif (117x353)
entonces el
numero de mediciones en cada muestra (tamano de muestra)
n esta dado
por
(10)
edsxeq10.gif (105x317)
donde
[Mathematical Expression Omitted] es el valor de t que corresponde a un nivel
de significancia
de [alpha] y
para k grados de libertad.
Para pruebas
comparativas en las cuales, las medias de cada
muestra son
derivadas, k = [n.sub.1] + [n.sub.2] - 2, la ecuacion 10 es un poco
dificil de
evaluar, pues [Mathematical Expression Omitted] es una funcion de k y por lo
consiguiente
de n.
Sin embargo, el valor de t tomado de la
tabla,
muestra que
para valores de n mayores de 8, t [congruent] 2. 1 para un nivel
de
significancia del 2.5%, t [congruent] 1.7 para un nivel del 5% y
t [congruent]
1.3 para un nivel del 10%. Para valores
de n menores de
8, se puede
resolver a la ecuacion 10 en forma iterativa.
Las tablas
siguientes, se han calculado mostrando tamanos
muestra
requerida para dos valores especificos de a.
Como era
de esperarse,
las tablas muestran que, el numero de pruebas necesarias
aumenta
conforme el nivel de significancia y la diferencia
porcentual de
medias disminuye y el factor del coeficiente
de variacion
(a) aumenta. Debido a que el nivel de
significancia
es la
probabilidad de que los ahorros que se observan
son casuales
y que no se daran en mayores escalas, (esto
es, en la
poblacion como un todo), un menor nivel de significancia
implica que
los ahorros que se anotan son mas probables que
se den en una
situacion real. Para las estufas de
lena, un nivel
del 5%
otorgara una base confiable de los ahorros, aun un
nivel del 10%
se acepta como razonable.
TABLA VI
Minimo de Tamanos de Muestra para
varias Diferencias
Porcentuales entre Medias y
Niveles de Significacion
1) (a) = 0.40
Diferencia Porcentual
Nivel de Significacia
entre medias (d x 100)
10%
5% 2.5%
10
54
92 128
20
14
23 32
30
7 11
14
40
5
7 9
50
3
5 7
2) (a)
0.25
Diferencia Porcentual
Nivel de Significacia
entre medias (d x 100)
10% 5%
2.5%
10
21
36 55
20
6
9 14
30
4
5 7
40
3
4 5
50
2
3 4
Las tablas
anteriores muestran que si la diferencia porcentual
entre medias
es del 30% o mayor, entonces, con cada estufa o
condicion de
operacion se pueden realizar un numero menor de 10
pruebas para
un nivel de significancia del 5% y de 7 pruebas
o menos para
un nivel del 10%. Sin embargo, en caso
de que la
diferencia
porcentual entre medias sea de solo el 10%, entonces
se requerira
un numero de 20 pruebas o mas. Como se
establecio
previamente,
al limitar la variabilidad entre pruebas por medio
de un control
cuidadoso de las mismas, se obtendra una disminucion
del nivel de
significancia, a; y de esa manera se reducira
el numero de
pruebas necesarias para llegar a resultados estadisticamente
significativos.
Intervalo de
Confianza para las pruebas "t"
El intervalo
de confianza para la diferencia entre medias de dos
muestras
(esto es, los ahorros promedio) para el nivel de significancia
[varies] esta
dado por:
(11)
edsxeq11.gif (117x353)
Lo anterior
significa que los ahorros reales tienen una probabilidad
edsx74.gif (108x600)

de (100 -
[alpha]) %, de caer en el rango de
APENDICE III
Cantidades, efectos de escala y otros
parametros influyentes
La cantidad
teorica de calor neto necesaria para hacer la comida
es
proporcional a la cantidad de agua o comida presente, o,
indirectamente
proporcional, al tamano de la familia.
De alli
que se use el
concepto de consumo especifico, que es un consumo
por kg (EAH)
o per capita (ERC).
Sin embargo,
otros efectos de escala distorsionan el cuadro
Por ejemplo,
se espera que el consumo especifico de lena sea mayor
en una
familia pequena.
Se puede
demostrar que, -- con ollas de geometria similar, temperaturas
y densidades
de flujo de calor parecidas -- el tiempo
y combustible
necesario para cocinar, cambia con el tamano de la
olla.
* Tiempo para
ebullir: se incrementa con el diametro de la olla
(o con la raiz cubica
de la capacidad)
* Perdidas de
calor al calentar: son las mismas para cualquier
tamano de
olla
* Perdida's
de calor con fuego lento: son inversamente proporcionales
al
diametro de
la
olla (o a la raiz cubica
de la
capacidad)
El primer
efecto de escala sobre el tiempo necesario puede ser
considerado
por medio de un tiempo "especifico", TE, el cual se
obtiene a
partir del tiempo de ebullicion, te.
Considerando un
diametro de
25 cm (cerca de 10") como diametro referencial del
recipiente:
TE = tiempo para ebullir x diametro maximo
del recipiente (cm)
---------------------------------------------------------
25
Los efectos
de escala que involucran consumo de combustible, dificilmente
pueden
incluirse, pues son diferentes para operaciones
a alta y baja
potencia. Debieran mantenerse en mente
al interpretar
los
resultados. Por ejemplo, al comparar un
recipiente
de 8 litros
con uno de 1 litro, se necesitara el doble de la
cantidad de
tiempo para llegar al punto de ebullicion, pero solo
la mitad del
consumo especifico de lena para un cocinado a fuego
lento.
Muchos otros
parametros pueden influir en el consumo de lena,
a menudo en
forma impredecible. La bateria de
cocina no es responsable,
por si misma,
del rendimiento de la estufa. Este
ultimo
dependera del
grado de expertaje, atencion y estilo del
usuario y por
ende no puede ser estandarizado o expresado en
forma de
"factor de correccion". Por
lo anterior, es importante
reportar los
antecedentes en la manera mas completa posible.
ANNEX IV
Participantes en la Reunion
de Arlington
Dr. Samuel
Baldwin
CILSS/VITA
B.P. 3826
Ouagadougou,
Upper Volta
Prof. dr. ir.
G. de Lepeleire
Laboratorium
voor Koeltechnik
en Klimaatregeling
Katholieke
Universiteit
Leuven
Celestijnenlaan 300
3030
Heverlee, Belgium
Dr. Dhammika
de Silva
Wood and
Cellulose Section
Ceylon
Institute for
Scientific and Industrial
Research
P.O. Box 787
363
Bauddhaloka Mawatha
Colombo 7,
Sri Lanka
Dr. Gautam S.
Dutt
Center for
Energy and
Environmental Studies
Princeton, NJ
08544 USA
Mr. Howard
Geller
American
Council for an
Energy-Efficient Economy
1001
Connecticut Ave., N.W.
Suite 530
Washington,
DC 20036 USA
Dr. C.L.
Gupta
TERI Field
Research Unit
c/o Sri
Aurobindo Ashram
Pondicherry
605002 India
Mr. Hamata Ag
Hantafaye
Laboratoire
d'Energie Solaire
B.P. 134
Bamako, Mali
Mr. Stephen
Joseph
Intermediate
Technology Development
Group
9 King Street
London WC2E
8HN
United
Kingdom
Ms. Karen Kennedy
Aprovecho
Institute
442 Monroe
Street
Eugene,
Oregon 97402 USA
Prof. dr. K.
Krishna Prasad
University of
Technology, W&S
P.O. Box 513
5600 MB
Eindhoven, The Netherlands
Ing. Marco
Augusto Recinos
Proyecto Lena
ICAITI
Apartado
Postal 1552
Avenida la
Reforma 4-47, Zona 10
Guatemala,
Guatemala, C.A.
Mr. Sylvain
Strasfogel
Association
Bois de Feu
73, avenue
Corot
13013
Marseille, France
Dr. Timothy
S. Wood
VITA
1815 North
Lynn Street
Suite 200
P.O. Box
12438
Arlington,
Virginia 22209-8438 USA
Observadores en la Reunion de Arlington
Mr. Stephen Klein
Energy Policy Advisor
AID/PPC Room 3887
Agency for International
Development
Washington, DC 20523 USA
Mr. Fernando Manibog
Energy Department
Room D-435
World Bank
1818 H Street, N.W.
Washington, DC 20433 USA
Dr. Robert Morgan
(VITA Corporation
Member)
Science Policy Fellow
The Brookings
Institution
1775 Massachusetts
Avenue, N.W.
Washington, DC 20036 USA
ANNEXE V
Participantes en el Seminario de
Estufas de Lena en Louvain
- Michel
Christiaens
- G. de
Lepeleire
Laboratorium voor Koeltechniek en
Klimaatregeling
Katholieke Universiteit Leuven (Louvain)
Celestijnenlaan 300A
B-3030 Heverlee, Belgium
Tel.: 016-23.49.31
- Beatrix
Westhoff
- Franz
Zinner
Sozietat fur Enwicklungsplanung (SFE)
Friedrichstrasse 38
D-6000 Frankfurt am Main 1, West Germany
- Van der
Spek Alexander
- P. Bussman
- K. Krishna
Prasad
- Vermeer
Nord-Jan
- C. Nieuwelt
- M. O.
Sielcken
- P. Verhaart
- P. Visser
- P.T.
Smulders
- S.F.
Laperre
- N. Eossche
Technische Hogeschool Eindhoven (THE)
Postbus 513
5600 MB Eindhoven, The Netherlands
Tel: 47.38.30/47.21.47
- D.L.M. Baay
- Eric
Ferguson
- W.F.
Sulilatu
TON/MT
Postbus 342
7300 AH Apeldoorn, The Netherlands
- Robert
Celaire
GRET/GERES, 34 rue Dumont d'Urville, 75116
Paris France
Tel: 502.10.10
Centre St. Jerome
13397 Marseille Cedex 13, France
Tel: 98.90.10, ext 367, code 264
- P. Dunn
Department of Mechanical Engineering
University of Reading
whiteknights
Reading RG6 2AH, United Kingdom
- H.E.
Huynink
Populierendreef 257
2272 RE Voorburg
The Netherlands
- Yvonne
Shanahan
- Stephen
Joseph
ITDG Power Unit
A.R.S. Shinfield
University of Reading
Whiteknights
Reading RG6 2AH, United Kingdom
- Waclaw L.
Micuta
Bellerive Foundation
5, rue du Vidollet
CH-1202 Geneva, Switzerland
Telex: 427993, tel: (22)33.74.22
- Rainer
Geppert
- Cornelia
Sepp
GTZ GmbH
Deutsche Gesellschaft fur Technische
Zusammenarbeit
Postfach 5180
Dag-Hammerskjoldweg 1
D-6236 Eschborn 1, West Germany
- Peter
Pluschke
GATE (German Appropriate Technology
Exchange)
Postfach 5180
D-6236 Eschborn 1, West Germany
- Gunter
Salzmann
Friedrichstrasse 38
D-6000 Frankfurt/Main
- Ianto Evans
Aprovecho Institute
442 Monroe Street
Eugene, Oregon 97402 USA
Tel: 503/683-2776
- Robert Chomi
- Anne
Spirlet
- Michel
Taymans
Agence Internationale du Developpement Rural
(AIDR)
Handelsstraat 20
B-1040 Brussels, Belgium
- Alice
Guidicelli
CEE-Developpement/Energie
Berlament 995
B-1049 Brussels, Belgium
Tel: 02/735.00.40, ext. 3771
- J.A. Boer
Ministry Foreign Affairs
Muzensstraat 30
The Hague, The Netherlands
- Dr. Timothy
Wood
VITA
1815 North Lynn Street, Suite 200
P.O. Box 12438
Arlington, Virginia 22209-8438 USA
Tel: (703) 276-1800
- Bernard
Kauffmann
GRDPR
145, rue St. Dominique
75007 Paris, France
Tel: 705.16.29
- Louis
Vroonen
ABGS (Ministry of Developing Countries)
Maraveldplein 5
1050 Brussels, Belgium
- Sylvain
Strasfogel
Association Bois de Feu/GRET
73, avenue Corot
13013 Marseille, France
Tel: (91) 70.92.93
- J.B.
Roggeman
Club du Sahel
13-15 Chausge de la Muette
75016 Paris, France
- Vera Van
Eenoo
Zeeptstraat 50
B-2850 Keerbergen, Belgium
- Donaat
Cosaert
- Chris
Avondts
ATOL
Plijde Inkomststrzat 9
B-3000 Louvain, Belgium
- Luc
Vandaele
Werkgroep Zachte Technologie
St. Janshuis
Celestijnenlaan
B-3030 Heverlee, Belgium
- Joseph
Melotte
Zandheuvel 1, Appt. 123
B-8401 Bredene, Belgium
ANNEXE VI
Participantes en la Reunion de Marsella, 12-14 Mayo, 1982
Beatrix
Westhoff
Sozietat fur
Enwicklungsplanung (SFE)
Friedrichstrasse
38,
6000
Frankfort, West Germany
Elisabeth
Gern
Karen Kennedy
Aprovecho
Institute
442 Monroe
St.
Eugene,
Oregon 97402 USA
Ralph Royer
Church World
Service
B.P. 11624
Niamey, Niger
Michel
Taymans
Agence
Internationale du Developpement Rural (AIDR)
20, rue du
Commerce
B-1040
Brussells, Belgium
Beauchesne
Patrick
CTFT
45 bis Bd.
Belle Gabrielle
94130
Nogeret/Marne, France
Annette
Legris
FIEF
5, av. Porte
Braucion
75015 Paris,
France
Patrick
Hauser
Etudiant
16, rue des
Samfoins
77380 Combe
la Ville, France
Bernard
Kauffmann
GRDRP
145, rue St.
Dominique
75007 Paris,
France
Pedro Costez
ICADA-Choqui
Apartado postal
159
Quetzaltenango,
Guatemala, C.A.
Roberto
Caceres
ICAITI
Apartado
Postal 1552
Avenida la
Reforma 4-47, Zona 10
Guatemala,
Guatemala, C.A.
Malcolm
Lillywhite
D.T.I.
Box 2043
Evergreen,
Colorado 80439 USA
Philippe
Simonis
G.T.Z.
Postfach 5180
Dag-Hammerskjoldweg
Eschborn 1,
West Germany
Yvonne
Shanahan
Stephen
Joseph
ITDG
A.R.S.
Shinfield
University of
Reading
Whiteknights
Reading RG6
2AH, United Kingdom
Sylvain
Strasfogel
Association
Bois de Feu/GRET
73, avenue
Corot
13013
Marseille, France
G. de
Lepeleire
Katholieke
Universiteit Leuven
Waversebaan
178
B-3030
Heverlee, Belgium
Woodstove
Group
Technische
Hogeschool Eindhoven (THE)
Postbus 513
5600 MB
Eindhoven, The Netherlands
Mr. W.J.
Weerakoon
T.D.A.U.
University of
Zambia
P.O. Box 32379
Lusaka,
Zambia
Mme. Seck
CERER
B.P. 476
Dakar,
Senegal
E. Ferguson
van
Dormaalstraat 15
Eindhoven,
The Netherlands
Alice
Guidicelle
200, rue de
la Loi
B-1049
Brussels, Belgium
Cherif Zaouch
ITTA
Sidi-Bau-Ali
4040 Tunisie
L. Van Daele
ATOL
Holsbeeksesteenweg
117
B-3200
Keseel-Lo, Belgium
FEISEAP
Faculty of
Engineering
Chulalongkorn
University
Bangkok 5,
Thailand
Tata Research
Institute
Bombay House
24, Homi Mody
Street
Bombay
400023, India
ANNEXE VII
Otros Criticos
La siguiente
lista fue compilada de sugestiones hechas por los participantes
de la reunion
en Arlington.
Dr. J.E.M.
Arnold
FLCD
United
Nations Food and Agriculture Organisation (FAO)
Vie delle
Terme di Caracalla
Rome 100,
Italy
John Ashworth
Associates in
Rural Development
362 Main
Street
Burlington,
Vermont 05401
Ken Darrow
Volunteers in
Asia
Box 4543
Stanford,
California 94305
Dr. Lamine
Kaba
Roghane
Research Centre
P.O. Box 561
Conakry,
Guinea
Prof. Kumar
Chemical
Engineering Dept.
Indian
Institute of Science
Bangalore
560012 India
Prof. Igbal
Mahmud
Chemical
Engineering Department
Bangladesh
Univ. of Eng. and Tech.
Dacca 2,
Bangladesh
Dr. Pablo
Mulas del Pozo, Director
Div. Fuentas
de Energia
Instituto de
Investigaciones Electricas
Cuernavaca,
Morelos, Mexico
Dr. Mark J.
Mwandosya
University of
Dar Es Salaam
Dept. of
Electrical Engineering
P.O. Box
35131
Dar Es
Salaam, Tanzania
Keith
Openshaw
c/o Ministry
of Energy
P.O. Box
30582
Nairobi, Kenya
Organizacion
Latinoamericana de Energia (OLADE)
Casilla 119A
Quito,
Ecuador
Lic. Ana
Maria Palomo
CEMAT
Apartado
Postal 1160
Guatemala,
Guatemala, C.A.
Sr. Hugo
Pineda
Centro Choqui
Apartado
Postal 159
Quetzaltenango,
Guatemala
C.V.S. Ratnam
Adviser on
S&T Policy
ESCAP
Regional Centre
P.O. Box 115
Bangalore 560
052, India
Prof. Amulya
Reddy
Indian
Institute of Science
Bangalore 560
012, India
E. Griffin
Shay
BOSTID Room
JH-213
National
Academy of Sciences
2101
Constitution Avenue, N.W.
Washington,
DC 20418
Asif Shaikh
Energy/Development
International
1110 Vermont
Avenue, N.W.
Washington,
DC 20005
William
Stewart
Sarvodaya
Institute
Palletalawinna
Katugastota
Kandy, Sri
Lanka
========================================
========================================